Abstract
Introduction : Melphalan 200mg/m2 has been the standard conditioning regimen for ASCT for multiple myeloma. Novel agents in combination with high dose melphan are being evaluated in clinical trials to improve outcomes. We previously reported results of early ASCT ( < 12 months from diagnosis) using VDT (Bortezomib, Thalidomide, Dexamethasone) plus Melphalan 200mg/m2 conditioning chemotherapy followed by combination maintenance therapy in younger MM patients (Age <65). This current prospective study evaluates the tolerance, safety and efficacy of early ASCT and maintenance therapy in MM patients who are ≥65 of age.
Methods and patients: A total of 41 eligible patients with newly diagnosed multiple myeloma age ≥ 65 were prospectively enrolled in the IRB approved phase II trial beginning in June 2013. After an induction chemotherapy and stem cell collection, ASCT was performed with a preparative chemotherapy consisting of VDT-Melphalan 200mg/m2. The patients were considered to have high risk cytogenetics if they had 17p deletion, t(14;16), amp 1q, or t(4;14) by FISH on CD-138 sorted plasma cells. After engraftment and recovery, patients were started on maintenance therapy for 2 years. Planned regimen for the first year was a combination of VDT as 28 day cycles and year 2 therapy consisted of bortezomib, cyclophosphamide and dexamethasone( VCD) as 28 day cycles. Alternate regimens were used in case of toxicities. Primary end points include PFS, frequency of severe toxicities, ICU admissions, and percentage of patients able to complete the full course of maintenance. Responses were evaluated according to IMWG consensus criteria and adverse events were recorded according to CTCAE v 4.03.
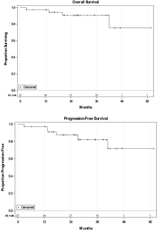
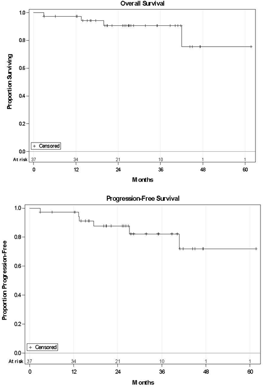
Results: 37 of the 41 patients enrolled received single ASCT between 2013 to 2016 of which 35 patients went to receive triple maintenance therapy and were included in this analysis. Median age was 68 (range: 65 to 75y). 12 (59%) and 15(40%) had standard risk and high risk cytogenetics by FISH, respectively. Median follow up was 27 months (3 months - 5 years). Major non-hematologic toxicities ≥ grade 3 were related to infections (25%), diarrhea (16%) and mucositis (11%). Median time to ANC and platelet engraftment was 11 and 17 days, respectively. There was one death within day 100 related to candida sepsis. Only 2 patients were re-hospitalized within 100 days but none required ICU admission. Median time to start post-transplant therapy was 73 days (range: 47 to 185 days). Best responses noted prior to initiation of maintenance were 17 sCR(47.2%), 3CR(8%), 10 VGPR(27%) and 6 PR(17%). 18 patients completed 2 years of maintenance therapy thus far and responses at the time of this analysis include sCR in 16 and CR in 2 patients. A total of 3 patients died during maintenance phase due to progressive disease. Median PFS and OS were not reached and 3 year PFS and OS were around 82 and 90%, respectively.
Conclusions:
This is the first trial to prospectively evaluate the safety and efficacy of early ASCT in elderly MM patients using a novel agent conditioning regimen followed by an intensive 2 year maintenance therapy. These results from the median follow up of 27 months indicate that the regimen is safe and tolerated without any increased mortality, and results in higher rates of deep and sustained responses. Major non hematologic toxicities included infections and GI related. No increased hospitalizations or ICU admissions were noted. Further follow up will determine the long term effects of the combination maintenance regimen, disease responses and survival in this group of elderly MM patients.
No relevant conflicts of interest to declare.
Author notes
Asterisk with author names denotes non-ASH members.

This feature is available to Subscribers Only
Sign In or Create an Account Close Modal